Los hemisferios de Magdeburgo

y la presión atmosférica

La historia

1656, Magdeburgo (Alemania). Otto Von Guericke es alcalde de la ciudad y, en el tiempo que le deja libre su cargo, se dedica a la ciencia. En uno de sus viajes diplomáticos llega a Regensburg, donde se entera de los trabajos realizados por Torricelli y Pascal. En ese mismo año, de vuelta a su ciudad, decide realizar su famosa demostración, para lo cual emplea la bomba de vacío que él mismo había diseñado cuatro años antes.

Pero esa demostración no es más que una pequeña parte de todos los estudios que se estaban a realizar sobre el vacío y la presión atmosférica, por científicos de la talla de Galileo (que se interesó del por que las bombas de achique no pueden elevar el agua por encima de los diez metros), Baliani (que expresó que estamos en el fondo de la inmensidad del aire y su peso debe ser muy grande), su discípulo Torricelli (quien diseña el experimento que lleva su nombre para comprobar la presión atmosférica, aunque tampoco fue original, sino que se basó en ideas previas), Pascal o Descartes. 

Es más, la demostración de Von Guericke, a pesar de ser la más famosa por su espectacularidad, sólo fue una parte de sus muchos experimentos para conseguir un vacío y el movimiento de émbolos que acabaría dando lugar a la máquina de vapor de Newcomen (1712) y a la mejorada de James Watt años después que significó el punto de partida de la revolución industrial.

Volvemos a Magdeburgo. Von Guericke realiza su demostración, que ya había realizado en Regensburg y que repetiría en Berlín más adelante. Delante de la audiencia convocada, hizo el vacío con su bomba en el interior de dos semiesferas de cobre de 50 cm de diámetro (que no tenían entre ellas ninguna otra unión). La presión atmosférica exterior, ante la falta de presión del aire en el interior, mantuvo a los hemisferios unidos. Un tiro de ocho caballos unidos a cada semiesfera fue incapaz de separarlas. De esta espectacular forma demostró el elevado valor de la presión atmosférica de la que no somos conscientes por ser algo presente en nuestro día a día. Esta demostración forma parte de la historia de la ciencia.

Algunos cálculos aproximados

¿Por qué los caballos no fueron capaces de separar los hemisferios? Se pueden hacer unos cálculos simplificados, muy simplificados y con muchas suposiciones. Como la fuerza del aire (un fluido) se ejerce sobre la superficie de la esfera en todas direcciones, perpendicular a la superficie...

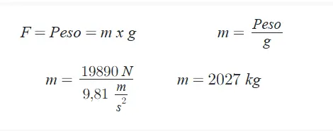
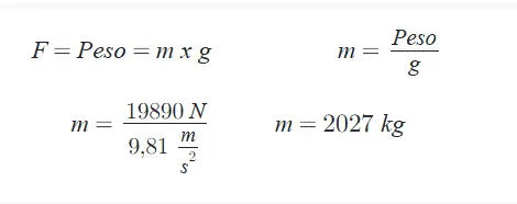
La presión P (presión exterior) a nivel del mar sería de 1 atmosfera (101300 Pa) y la interior 0 si consideramos un vacío total. 

La superficie neta S sobre la que "empuja" el aire sería del círculo que representa la esfera... Hacemos cálculos:

Si pasamos la fuerza F a su equivalente en peso (P) y a "masa" para entendernos...

Es decir, podríamos colgar un peso de unas 2 toneladas y las campanas no se separarían. Por supuesto el vacío no era total, los cálculos son aproximados, hay muchas suposiciones... Pero los números que hay por internet son parecidos, entre 1700 y 2000 kg.

Nuestro(s) experimento(s)

Una vez que sabemos cual fue el desarrollo histórico básico, ¿qué podemos hacer en una aula para experimentar con la presión atmosférica?

1. El experimento de Torricelli. Muy básico. Una bandeja de laboratorio y unos cuantos tubos de ensayo de varios diámetros. Ponemos agua en la bandeja, llenamos cada tubo de agua y los invertimos (sin que caiga el agua). Observamos como cada tubo se mantiene lleno independientemente de su tamaño, forma o volumen de agua. Probamos también con diferentes recipientes como vasos, botellas de cuello estrecho, etc. En todos los casos ocurre lo mismo. Modificamos también la cantidad de agua en la bandeja (profundidad) y superficie (volumen total de agua) y el efecto es el mismo. En una ocasión montamos un tubo transparente de PVC de 11 metros y conseguimos llenarlo de agua e invertirlo, desde la ventana del laboratorio (un segundo piso alto) sobre un capazo primero, luego sobre un cubo y luego sobre un vaso. Perdimos algo de agua, pero comprobamos que se mantenía la altura.

2. La campana de vacío. Compramos una pequeña campana de vacío de plástico y le acoplamos una bomba manual de vacío. Para comprobar el efecto de la presión del aire, introducimos en la campana un globo a medio hinchar. Según vamos extrayendo el aire, el globo hincha ante la ausencia de presión interna (entre la campana y el propio globo) y el aire del globo busca expandirse todo lo posible. Si ponemos una chincheta en la pared plástica interna podemos hacerlo reventar, lo que lo hace más llamativo.

En vez de un globo podemos poner una nube de azúcar para ver como aumenta de tamaño (lo mismo si lo hacemos en el interior de una jeringa tapando la boca y tirando del émbolo.

3. Las semiesferas metálicas. Por supuesto, teníamos que probar algo más parecido a los hemisferios históricos. Así que nos hicimos con un par de semiesferas de hierro fundido de unos 15 cm de diámetro. Con la misma pistola de vacío bien ajustada a la válvula conseguimos reducir la presión interna a aproximadamente un máximo del 70 %, es decir, a unas 0,3 atmosferas. Con esto era suficiente, siempre y cuando tuviéramos la junta de unión de ambos hemisferios bien untada de vaselina para evitar la entrada de aire (lo que fue el principal problema del experimento). Una vez hecho el vacío parcial, comprobamos la dificultad de separar las piezas tirando de las anillas. Necesitábamos tener una referencia más visual de la fuerza de unión. Colgamos de una de las anillas diferentes pesas (de gimnasio). Teóricamente podríamos soportar un peso de más de 50 kg. En la práctica llegamos a los 20 kg, lo que resultó espectacular.

4. Estación meteorológica. Aprovechamos para relacionar todo el concepto de presión atmosférica con la meteorología y los datos que se recogen en una estación meteorológica: isobaras, anticiclones, borrascas...

Con todo esto, para darle un enfoque práctico, podemos hacer la siguiente pregunta: ¿cuál es la influencia de la presión atmosférica en nuestra vida diaria? Pues seguramente en más situaciones de las que nos imaginamos:
- Meteorología: presión atmosférica alta (anticiclón) significa tiempo estable, pocas nubes...
- Aviación: los aviones vuelan a grandes altitudes (unos 10 000 m) donde las presiones son bajas (un 26% de la que hay a nivel del mar), por eso las cabinas deben ir presurizadas
- Fisiología: ¿se te han taponado alguna vez los oídos? ¿es posible que las migrañas o dolores de cabeza estén relacionados con la presión?
- Cocina: cuánto menor es la presión atmosférica, menor es la temperatura de ebullición del agua, por ejemplo para cocinar pasta.
- Deportes: ¿has oído hablar de récords en altitud? ¿cuál es la relación entre la presión atmosférica, la densidad el aire y la menor cantidad de oxígeno?

Los hemisferios de Magdeburgo y la presión atmosférica

Más información:
- En Divulgameteo.
- En Wikipedia, con foto de los hemisferios originales.
- En La brújula verde.
- Biografía de Von Guericke en Foro Histórico.
- Amplia descripción en este pdf.

© Copyright 2024 Luar na fraga - All Rights Reserved- Diseñado con MobiRise

Drag and Drop Website Builder